El origen de la Teoría de Colas está en el esfuerzo de Agner Krarup
Erlang (Dinamarca, 1878 - 1929) en 1909 para analizar la congestión de tráfico
telefónico con el objetivo de cumplir la demanda incierta de servicios en el
sistema telefónico de Copenhague. Sus investigaciones acabaron en una
nueva teoría llamada teoría de colas o de líneas de espera. Esta teoría es
ahora una herramienta de valor en negocios debido a que muchos de sus
problemas pueden caracterizarse, como problemas de congestión llegada -
partida.
Una Cola es una línea de espera y la teoría de colas es una colección de
modelos matemáticos que describen sistemas de líneas de espera particulares
o de sistemas de colas. Los modelos sirven para encontrar un buen
compromiso entre costes del sistema y los tiempos promedio de la línea de
espera para un sistema dado.
El problema es determinar que capacidad o tasa de servicio proporciona
el balance correcto. Esto no es sencillo, ya que un cliente no llega a un horario
fijo, es decir, no se sabe con exactitud en que momento llegarán los clientes.
También el tiempo de servicio no tiene un horario fijo.
Definición
Teoría de Colas es el estudio matemático del comportamiento de líneas
de espera. Estas se presentan cuando "clientes" llegan a un "lugar"
demandando un servicio a un "servidor" el cual tiene cierta capacidad de
atención. Si el servidor no está disponible inmediatamente y el cliente decide esperar, entonces se forma en la línea de espera.

Conceptos Básicos
Clientes: Término usado en un sistema de colas para referirse a:
· Gente esperando líneas telefónicas desocupadas.
· Máquinas que esperan ser reparadas.
· Aviones esperando aterrizar.
Instalaciones de Servicio: Este término se usa para referirse a:
· Líneas telefónicas.
· Talleres de reparación.
· Pistas de aeropuerto.
Llegadas: Es el número de clientes que llegan a las instalaciones de servicio.
Tasa de Servicio: Este término se usa para designar la capacidad de servicio,por ejemplo:
·Un sistema telefónico entre dos ciudades puede manejar 90 llamadas por minuto.
· Una instalación de reparación puede de media, reparar máquinas a razón una cada 8 horas.
· Una pista de aeropuerto en la que aterrizan dos aviones por minuto.
Número de servidores de servicio: Es la cantidad de servidores de que disponemos:
· Número de conmutadores telefónicos.
· Número de puestos de reparación.
· Número de pistas de aterrizaje de un aeropuerto.
El número de servidores no tiene porqué ser siempre en paralelo, es
decir, puede que un sistema de colas tenga varias fases.
Servidores | Fases | Ejemplos típicos |
Uno | Una | Kiosco de prensa con un empleado |
Uno | Varias | Lavado / secado de coches |
Varios | Una | Oficina bancaria con varios cajeros |
Varios | Varias | Centro de servicios radiológicos de hospital |
Objetivos de la teoría de colas
Dada la función de costes anterior, los objetivos de la Teoría de Colas
consisten en:
· Identificar el nivel óptimo de capacidad del sistema que minimiza el coste global del mismo.
· Evaluar el impacto que las posibles alternativas de modificación de la capacidad del sistema tendrían en el coste total del mismo.
· Establecer un balance equilibrado (“óptimo”) entre las consideraciones cuantitativas de costes y las cualitativas de servicio.
Hay que prestar atención al tiempo de permanencia en el sistema o en la
Cola: la “paciencia” de los clientes depende del tipo de servicio específico
considerado y eso puede hacer que un cliente “abandone” el sistema.
Tipos de colas
Según el tipo de sistema de colas, tenemos varios tipos de éstas, las cuales son:
a) Una línea, un servidor
El primer sistema que se muestra se llama un sistema de un servidor y una cola o puede describir una consulta de un médico.
b) Una línea, múltiples servidores
El segundo, una línea con múltiples servidores, es típico de una
peluquería o una panadería en donde los clientes toman un número al
entrar y se les sirve cuando les llega el turno.
c) Varias líneas, múltiples servidores
El tercer sistema, en que cada servidor tiene una línea separada, es
característico de los bancos y las tiendas de autoservicio. Para este tipo
de servicio pueden separarse los servidores y tratarlos como sistemas
independientes de un servidor y una cola. Esto sería válido sólo si
hubiera muy pocos intercambios entre las colas. Cuando el intercambio
es sencillo y ocurre con frecuencia, como dentro de un banco, la
separación no sería válida.
Disciplina de la cola
-Fifo, fifo con límite
-Lifo
-Siro (aleatorio)
-Por prioridad, interruptora o no.
La distribución de poisson
Esta distribución es muy frecuente en los problemas relacionados con la
investigación operativa, sobre todo en el área de la gestión de colas. Suele
describir, por ejemplo, la llegada de pacientes a un ambulatorio, las llamadas a
una central telefónica, la llegada de coches a un túnel de lavado, etc. Todos
estos casos pueden ser descritos por una variable aleatoria discreta que tiene
valores no-negativos enteros.
La distribución exponencial (de llegadas)
-La distribución exponencial supone una mayor probabilidad para tiempos entre llegadas pequeños.
-En general, se considera que las llegadas son aleatorias.
-La última llegada no influye en la probabilidad de llegada de la siguiente.
Proceso de la llegada a la cola
-Existen 2 tipos de procesos de llegada:
-Determinístico
-Aleatoria: (Las 3 condiciones para la existencia del proceso de llegada poisson son:)
*Continuidad: Al menos un cliente debe llegar a la cola durante un intervalo de tiempo.
*Estacionario: Para un intervalo de tiempo dado, la probabilidad de que llegue un cliente es la misma que para todos los intervalos de tiempo de la misma longitud.
*Independencia: La llegada de un cliente no tiene influencia sobre la llegada de otro.
La distribución de poisson (de llegadas)
-Es una distribución discreta empleada con mucha frecuencia para describir el patrón de las llegadas a un sistema de colas.
-Para tasas medias de llegadas pequeñas es asimétrica y se hace más simétrica y se aproxima a la binomial para tasas de llegadas altas.
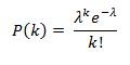
La forma algebraica es:

Dónde:
= Probabilidad de k llegadas por unidad de tiempo.
= tasa media de llegadas
e = 2,7182818…
Distribución de servicio
Es necesario seleccionar una distribución de probabilidad para los tiempos de servicio.
Hay 2 distribuciones que representarían puntos extremos:
-Distribución exponencial (
= media)
-Tiempos de servicio constantes (
= 0)
La distribución de erlang (de servicio)
Es una distribución intermedia, posee un parámetro de forma k que determina su desviación estándar:
Si K = 1, entonces la distribución Erlang es igual a la exponencial.
Si K = ∞ entonces la distribución Erlang es igual a la distribución degenerada con tiempos constantes
Factores que influyen en los modelos de colas:
-Configuración de la fila
-Tramposos
-Contrariedades
-Prioridades
-Colas Tàndem (simultáneas)
-Homogeneidad
1ª Ley de Harper
No importa en qué cola se sitúe: La otra siempre avanzará más rápido.
2ª Ley de Harper
Y si se cambia de cola, aquélla en que estaba al principio empezará a ir
más deprisa.









